Biotin vitamini
D biotin kukuni, shuningdek, B7 vitamini sifatida ham tanilgan, vitamin B guruhiga kiradi. U asosan inson organizmidagi turli karbonat kislota fermentlarining kofaktoridir. Bu yog 'kislotalari sintezi, glyukoneogenez va aminokislotalarning parchalanishi uchun ajralmas ozuqa hisoblanadi. Bu energiya ishlab chiqarish uchun zarurdir. Bu suvda eriydigan, nisbatan issiqlikka chidamli vitamin bo'lib, umumiy pishirish yo'qotilishi ahamiyatsiz. Biotin organizmdagi ko'plab karboksilazalarning koenzimi bo'lib, uglevodlar, yog'lar, oqsillar va nuklein kislotalarning metabolizmida muhim rol o'ynaydi. Oddiy sharoitlarda muvozanatli dietaga ega bo'lgan kattalarda odatda biotin etishmaydi. Xom tuxum oqidagi avidin biotinning so'rilishiga ta'sir qiladi. Tuxum oqini pishirgandan so'ng, avidin yo'q qilinadi va biotin qayta so'rilishi mumkin.
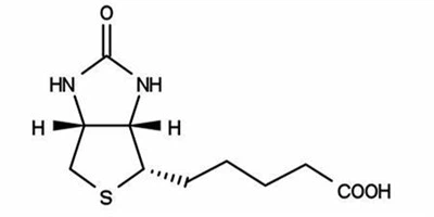
H vitamini karbamid va tiofen bilan valerik kislota yon zanjiri bilan birlashtirilgan parallel halqaga ishora qiladi. Fotosensitiv modda optik asab hujayrasini tashkil qiladi va epiteliya to'qimalarining tuzilishining yaxlitligi va mustahkamligini saqlab turishi mumkin. Biotin tananing immunitetini va qarshiligini kuchaytiradi va o'rtacha o'sish va rivojlanishni qo'llab-quvvatlaydi. Klinik jihatdan biotin ateroskleroz, insult, gipertoniya, yurak-qon tomir kasalliklari, lipidlar almashinuvining buzilishi va qon aylanishining buzilishini davolaydi. Biotin inson organizmida glikogen, yog ', aminokislotalarning normal sintezi va metabolizmiga yordam beradi, ter bezlari, asab to'qimalari, suyak iligi muntazam ishlashi va o'sishiga yordam beradi, ekzema, dermatit belgilarini engillashtiradi, kulrang sochlar va sochlarning yo'qolishining oldini oladi, kallikni davolashga yordam beradi, mushaklarning og'rig'ini engillashtiradi, karbamid sintezini, purin sintezini va oleyk kislota biosintezini rag'batlantiradi. Biotinning kundalik hayotda keng qo'llanilishi bilan biotinga bo'lgan talab asta-sekin o'sib bormoqda. Sian Sonvuda onlayn biotin ingredientlarini sotib olsangiz, xavfsiz va samarali bo'lgan yuqori sifatli mahsulotni olishingizga ishonchingiz komil bo'lishi mumkin.

Biotin nima uchun yaxshi
Xom biotin, ya'ni H vitamini sifatida tanilgan, organizmga oziq-ovqatni energiyaga aylantirish imkonini beradi. Biotin hujayralar salomatligi va yangilanishi uchun foydalidir. Qandli diabet bilan og'rigan odamlar biotin bilan qon shakarini tartibga solishni yaxshilashlari mumkin. Biotin sog'lom soch va tirnoqlar uchun ham kerak.
1. Sog'liqni saqlashdan foydalanish
Qandli diabet
Biotin qo'shimchasi insulin va qon shakaridan foydalanishni yaxshilash orqali qon shakarini tartibga solishni yaxshilashga yordam beradi.
Soch va tirnoqlar
Biotin qo'shilishi zaif, yorilgan oyoq va tirnoqlarni tiklaydi va sochlaringizning sog'lig'ini yaxshilaydi. Biotin, shuningdek, past biotin darajasidan kelib chiqqan sochlarning erta oqarishini tiklaydi.
Teri muammolari
Ba'zi teri kasalliklari, masalan, beshik qopqog'i, biotin qo'shilishi bilan yaxshilanishi mumkin.
Mushak distrofiyasi
Biotin rejimning bir qismi sifatida mushaklar bilan bog'liq ba'zi sharoitlarni davolashi mumkin.
Oziqlanish salomatligi
Biotin vazn yo'qotadigan odamlarga metabolizmni samaraliroq qilishga yordam beradi.
Yuqumli kasallik
Biotin ichak Candida, xamirturush infektsiyasini davolash uchun ishlatilishi mumkin.

Tadqiqotlarga ko'ra, foliy kislotasi va biotinni birlashtirish teratogenlikni samarali ravishda oldini oladi. Biotin yog 'va uglevodlarning parchalanishiga yordam beradi, shuning uchun ular tezda inson faoliyati uchun zarur bo'lgan energiyaga aylanadi; organizmdagi biotin miqdori yetarli bo'lmasa, organizmda yog'lar to'planib, semirishga olib keladi. Ushbu kashfiyot biotinni vazn yo'qotish va sog'lomlashtirish mahsulotlarini qo'llash uchun mustahkam poydevor yaratdi va biotin uchun kengroq bozorni ochdi.
2. Kosmetik foydalanish
Biotin mukammal kosmetik ta'sirga ega va terini yumshoq va oq, tirnoqlarni silliq va hokazo ushlab turishi mumkin. Bu kashfiyot shuningdek, biotin mahsulotlari uchun muhim yangi farmatsevtik foydalanishni ochib beradi.
Oziqlantiruvchi qo'shimcha sifatida H vitamini oziq-ovqat sanoatida qayta ishlash uchun yordamchi sifatida ishlatilishi mumkin va teri kasalliklarining oldini olish va lipid metabolizmini rag'batlantirish kabi fiziologik funktsiyalarga ega. Ko'p miqdorda xom protein iste'mol qilish biotin etishmovchiligiga olib kelishi mumkin.
Kosmetikada qo'llaniladi, u teri tomirlarida qon aylanish tezligini oshirishi mumkin va formuladagi yog 'fazasi bilan {0}} konsentratsiya oralig'ida aralashtirish oson.1 foiz ~1,0 foiz. Terini parvarish qilishda, sport tibbiyotida, oyoq og'rig'ini yo'qotish kremida, soqol olish losonida va shampunda ishlatiladi.

3. Ilmiy tadqiqot maqsadlari
Biotin nuklein kislotasi problari uchun yorliq sifatida ishlatilishi mumkin. U UTP yoki nuklein kislota molekulalarining dUTP ning 5' pozitsiyasida C bilan birlashtirilishi va aniqlanishi uchun avidin bilan birlashtirilishi mumkin. Aniqlash jarayonida biotin signalni aniqlash uchun emas, balki faqat qattiq bog'lanish sifatida ishlatiladi.
Biotin tanqisligi bilan nima sodir bo'ladi
1. Biotin etishmasligi kepekni, sochlarning oson to'kilishini va balog'atga etmagan kulrang sochlarni oshiradi;
2. Biotin etishmasligi yuzning xiralashishi, ko'k rang va dermatitga olib kelishi mumkin;
3. Biotin etishmasligi osongina ruhiy tushkunlik, uyqusizlik va uyqusizlik kabi nevrologik alomatlarga olib kelishi mumkin;
4. Biotin etishmasligi odamlarda tez charchaydi, dangasa, zaiflashadi va mushaklarda og'riq paydo bo'ladi.
Biotin etishmovchiligi belgilari: dermatit, ekzema, atrofik glossit, giperesteziya, miyalji, letargiya, anoreksiya, engil anemiya va soch to'kilishi.

TSS
Biotin organizmning immunitet reaktsiyasini va infektsiyaga chidamliligini oshirishi, normal to'qimalarning lizosomal membranasini barqarorlashtirishi, tananing gumoral immunitetini va hujayra immunitetini saqlab turishi va sitokinlarning sekretsiyasiga ta'sir qilishi mumkin. Katta dozalar, xuddi immunostimulyatorlar kabi, timus giperplaziyasini kuchaytirishi va immunitetni oshirishi mumkin.
Tavsiya etilgan kunlik iste'mol: Inson tanasiga kuniga taxminan 100-300 mikrogram kerak bo'ladi.
Qo'shimchalar aylanishi: B7 vitamini inson tanasida faqat 3 dan 6 soatgacha qoladi, shuning uchun u har kuni to'ldirilishi kerak.
Biotinning haddan tashqari ishlashi: H vitaminining toksikligi etishmaydi va uning toksik reaktsiyalari haqida hech qanday ma'lumot berilmagan.
Xi'an Sonwu Co., Ltd kompaniyasining o'n yildan ortiq ishlab chiqarish tajribasiga ko'ra, bozordagi mijozlarning ehtiyojlari asosan tabiiy biotinga asoslangan. Xi'an Sonwu sizni biotin mahsulotlari va boshqa farmatsevtika xom ashyolari bilan ta'minlashi mumkin. Agar siz biotin narxini bilmoqchi bo'lsangiz yoki ushbu mahsulot haqida qo'shimcha savollaringiz bo'lsa, iltimos, elektron pochta manzilini bosing va Xi'an Sonwu sizning savollaringizga yaxshi takliflar yoki echimlarni taqdim etadi.
E-mail:sales@sonwu.com





